A2R-HM1N1-100μg / 询价
A2R-HM1N1-100μgx5 / 询价
A2R-HM1N1-100μgx10 / 询价
|
表达区间及表达系统(Source)
|
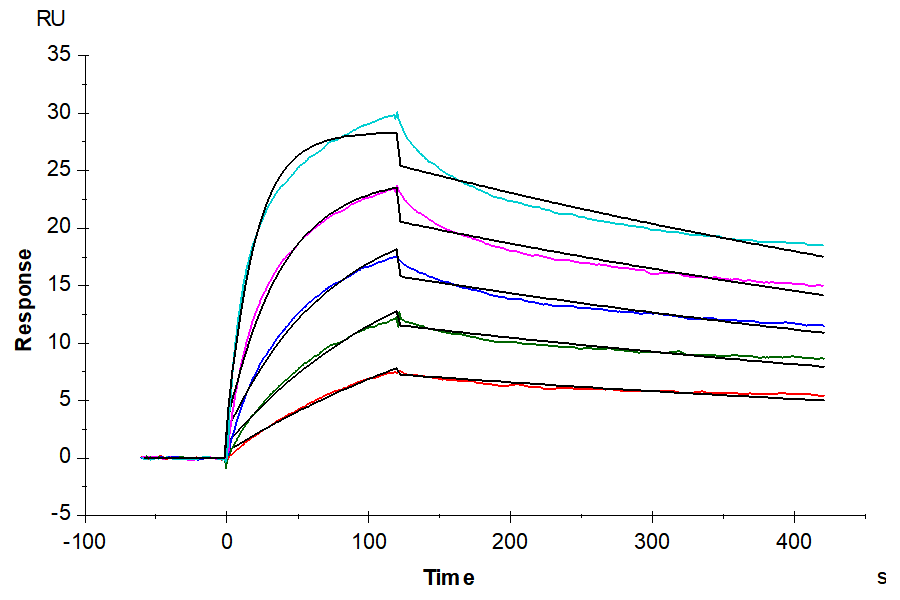
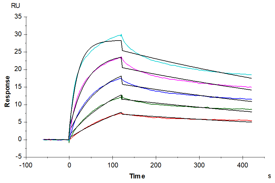
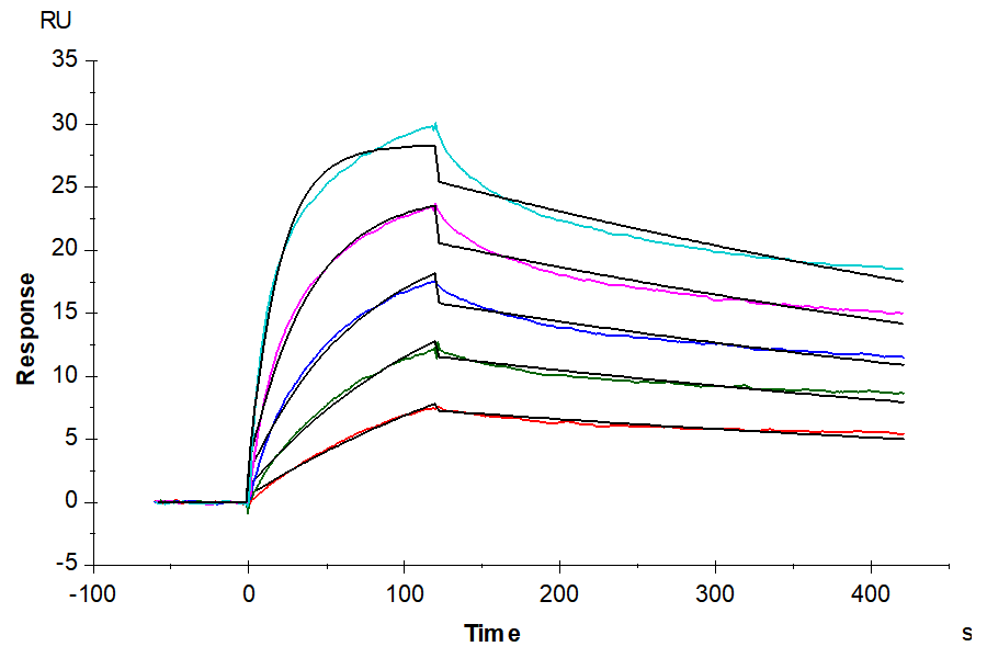
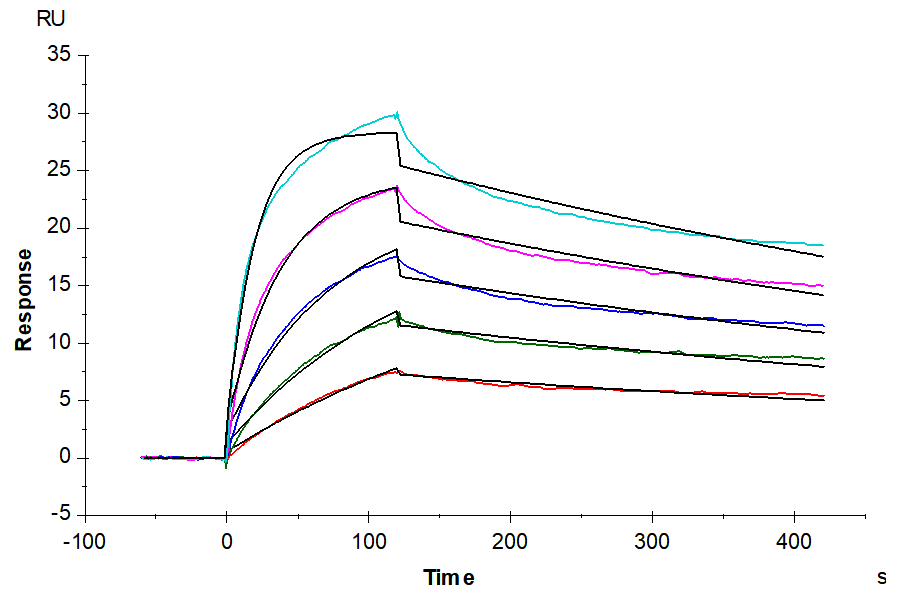
Recombinant Human A2AR Nanodisc is expressed from HEK293 with His tag at the C-terminus.It contains Met1-Ser412 [Accession | P29274]. |
|
分子量大小(Molecular Weight)
|
The protein has a predicted MW of 45.5 kDa. |
|
内毒素(Endotoxin)
|
Less than 1 EU per μg by the LAL method. |
|
制剂(Formulation)
|
Supplied as 0.22 μm filtered solution in PBS, 200mM L-arginine (pH 7.4). Notice: Not recommended for flow cytometry in mammalian cells. |
|
存储(Storage)
|
Valid for 6 months from date of receipt when stored at -80°C. |
|
阴性对照
(Recommended Negative Control)
|
CON-HM1NB |
Recombinant Human A2AR Nanodisc is expressed from HEK293 with His tag at the C-terminus.It contains Met1-Ser412 [Accession | P29274].
The protein has a predicted MW of 45.5 kDa.
Less than 1 EU per μg by the LAL method.
Supplied as 0.22 μm filtered solution in PBS, 200mM L-arginine (pH 7.4). Notice: Not recommended for flow cytometry in mammalian cells.
Valid for 6 months from date of receipt when stored at -80°C.
Recommend to aliquot the protein into smaller quantities for optimal storage. Please minimize freeze-thaw cycles.
Adenosine is a neuromodulator in the adult central nervous system. Membrane-bound receptors for adenosine have been identified and cDNAs for A1, A2a, A2b, and A3 adenosine receptor subtypes have been cloned recently.Expression of A2a adenosine receptor mRNA in cranial ganglia, carotid body, and intermediate lobe of the pituitary gland similarly suggests novel sites of adenosine action during development and in the adult.
A2aR;Adenosine A2a R;ADORA 2;ADORA2;ADORA2A;RDC8
Weaver DR. A2a adenosine receptor gene expression in developing rat brain. Brain Res Mol Brain Res. 1993 Dec;20(4):313-27. doi: 10.1016/0169-328x(93)90058-w. PMID: 8114618.
A2R-HM1N1-100μg / 询价
A2R-HM1N1-100μgx5 / 询价
A2R-HM1N1-100μgx10 / 询价
| 货号* | 规格* | 名称 | 数量* | |
|---|---|---|---|---|
| 货号* | 形态* | 批号* | |
|---|---|---|---|
| 货号* | 形态* | 批号* | |
|---|---|---|---|
| 货号* | 批号* | |
|---|---|---|
| 货号* | 规格* | 批号* |
|---|---|---|
| Buffer 货号* | Buffer 规格* | Buffer 批号* |
|---|---|---|
| 货号* | 批号* | |
|---|---|---|