CCR-HM107-100μg / 询价
CCR-HM107-100μgx5 / 询价
CCR-HM107-100μgx10 / 询价
|
表达区间及表达系统(Source)
|
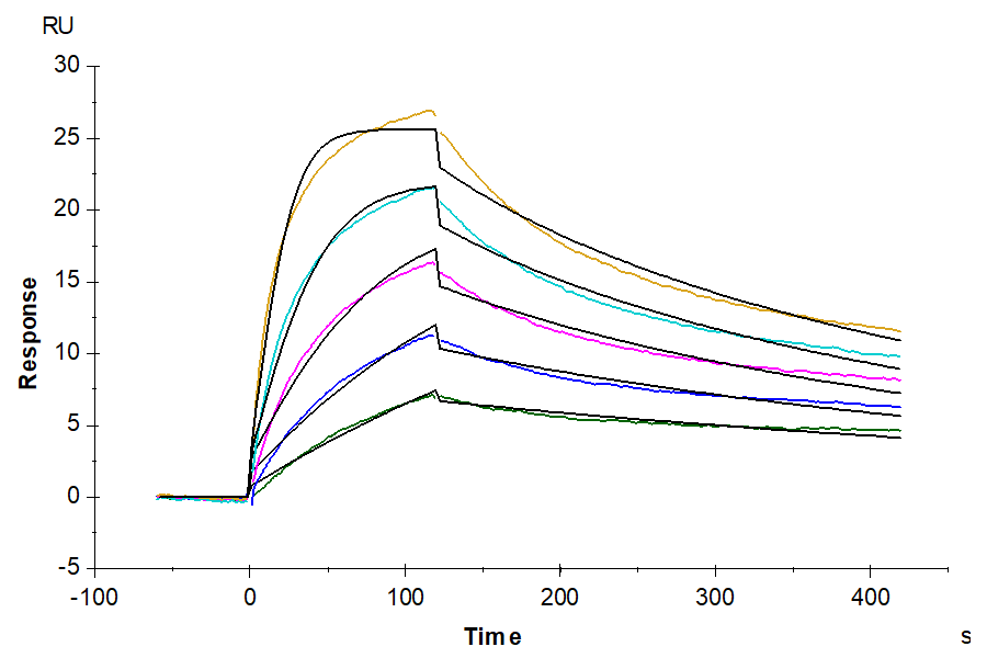
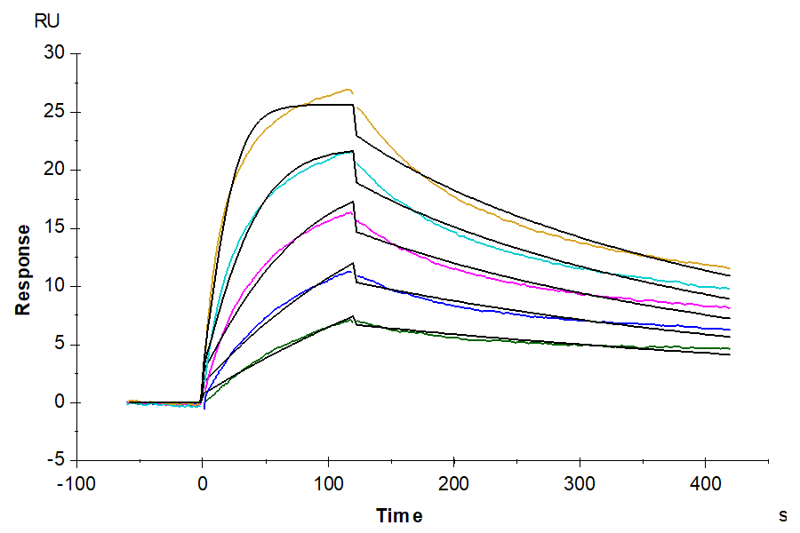
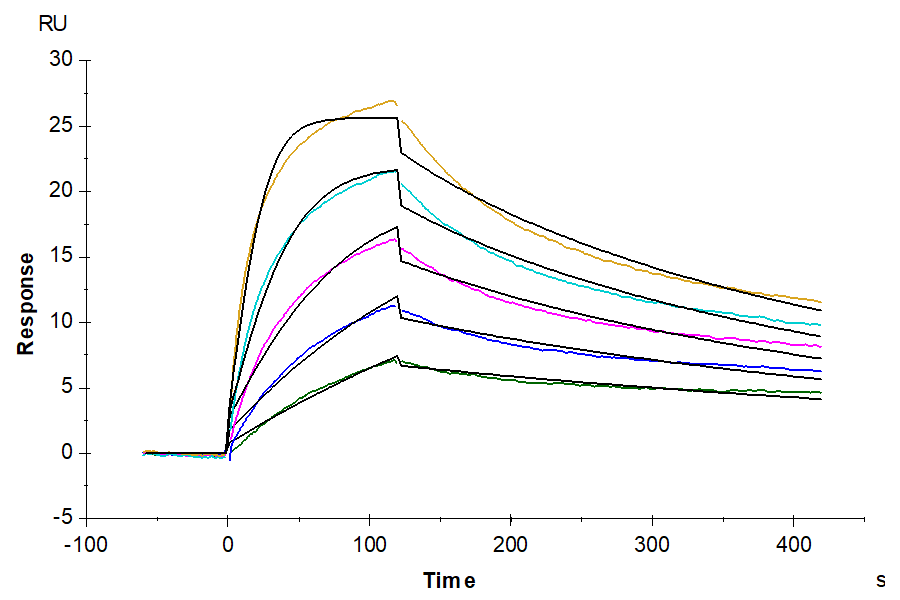
Recombinant Human CCR7 Nanodisc is expressed from HEK293 with His tag at the C-terminus (FITC-equivalent protein is fused on cytoplasmic part).It contains Met1-Pro378 [Accession | P32248]. |
|
分子量大小(Molecular Weight)
|
The protein has a predicted MW of 67.70 kDa. |
|
内毒素(Endotoxin)
|
Less than 1 EU per μg by the LAL method. |
|
制剂(Formulation)
|
Supplied as 0.22 μm filtered solution in PBS, 200mM L-arginine (pH 7.4). Notice: Not recommended for flow cytometry in mammalian cells. |
|
存储(Storage)
|
Valid for 6 months from date of receipt when stored at -80°C. |
|
阴性对照
(Recommended Negative Control)
|
CON-HM1NB |
Recombinant Human CCR7 Nanodisc is expressed from HEK293 with His tag at the C-terminus (FITC-equivalent protein is fused on cytoplasmic part).It contains Met1-Pro378 [Accession | P32248].
The protein has a predicted MW of 67.70 kDa.
Less than 1 EU per μg by the LAL method.
Supplied as 0.22 μm filtered solution in PBS, 200mM L-arginine (pH 7.4). Notice: Not recommended for flow cytometry in mammalian cells.
Valid for 6 months from date of receipt when stored at -80°C.
Recommend to aliquot the protein into smaller quantities for optimal storage. Please minimize freeze-thaw cycles.
CC-chemokine receptor 7 (CCR7), collaborated with its ligands CCL19 and CCL21, controls extensive migratory events in the immune system. CCR7-bearing dendritic cells can swarm into T-cell zones in lymph nodes, initiating the antigen presentation and T-cell response. Abnormal expression of CCR7 in dendritic cells will cause a series of inflammatory diseases due to the chaotic dendritic cell trafficking.
CCR7; C-C CKR-7; CC-CKR-7; CCR-7; BLR2; CDw197; EBI1; CD197; CMKBR7; EBI1; EVI1
Hong W, Yang B, He Q, Wang J, Weng Q. New Insights of CCR7 Signaling in Dendritic Cell Migration and Inflammatory Diseases. Front Pharmacol. 2022 Feb 25;13:841687. doi: 10.3389/fphar.2022.841687. PMID: 35281921; PMCID: PMC8914285.
CCR-HM107-100μg / 询价
CCR-HM107-100μgx5 / 询价
CCR-HM107-100μgx10 / 询价
| 货号* | 规格* | 名称 | 数量* | |
|---|---|---|---|---|
| 货号* | 形态* | 批号* | |
|---|---|---|---|
| 货号* | 形态* | 批号* | |
|---|---|---|---|
| 货号* | 批号* | |
|---|---|---|
| 货号* | 规格* | 批号* |
|---|---|---|
| Buffer 货号* | Buffer 规格* | Buffer 批号* |
|---|---|---|
| 货号* | 批号* | |
|---|---|---|