CLD-HE1822B-100μg / 询价
CLD-HE1822B-100μgx5 / 询价
CLD-HE1822B-100μgx10 / 询价
|
表达区间及表达系统(Source)
|
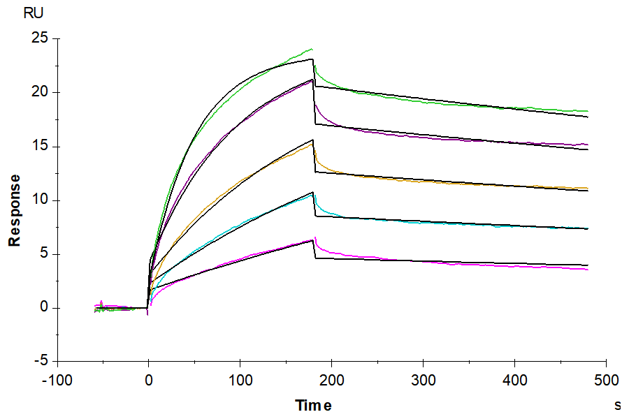
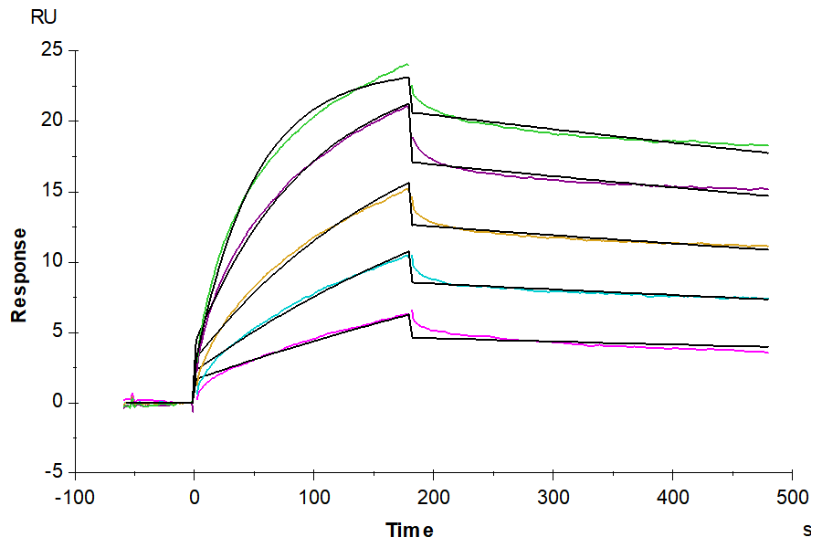
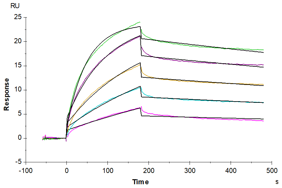
Recombinant Biotinylated Full length Human Claudin 18.2 VLP is expressed from HEK293.It contains Met1-Val261 (It may have cross reaction with anti-His antibody) [Accession | P56856-2]. |
|
分子量大小(Molecular Weight)
|
The target protein has a predicted MW of 29 kDa. |
|
纯度(Purity)
|
> 95% as determined by HPLC |
|
内毒素(Endotoxin)
|
Less than 1 EU per μg by the LAL method. |
|
制剂(Formulation)
|
Supplied as 0.22μm filtered solution in PBS, 300mM L-arginine (pH 7.4). |
|
存储(Storage)
|
Valid for 12 months from date of receipt when stored at -80°C. |
|
阴性对照
(Recommended Negative Control)
|
GPR-HM05CB |
Recombinant Biotinylated Full length Human Claudin 18.2 VLP is expressed from HEK293.It contains Met1-Val261 (It may have cross reaction with anti-His antibody) [Accession | P56856-2].
The target protein has a predicted MW of 29 kDa.
> 95% as determined by HPLC
Less than 1 EU per μg by the LAL method.
Supplied as 0.22μm filtered solution in PBS, 300mM L-arginine (pH 7.4).
Valid for 12 months from date of receipt when stored at -80°C.
Recommend to aliquot the protein into smaller quantities for optimal storage. Please minimize freeze-thaw cycles.
Claudin18(CLDN18) belongs to the large claudin family of proteins, which form tight junction strands in epithelial cells.CLDN18 is specifically expressed in the stomach and lung. CLDN18 has two alternatively spliced variants,CLDN18.1 and CLDN18.2. Isoform 2 (Claudin 18.2) is abundant in gastric tumors.
CLDN18; CLDN18.2; Claudin-18.2; Claudin18.2; Claudin-18; DKFZp564B2062; SFTA5; SFTPJ
(1)Singh P , Toom S , Huang Y. Anti-claudin 18.2 antibody as new targeted therapy for advanced gastric cancer[J]. Journal of Hematology & Oncology, 2017, 10(1):105.
CLD-HE1822B-100μg / 询价
CLD-HE1822B-100μgx5 / 询价
CLD-HE1822B-100μgx10 / 询价
| 货号* | 规格* | 名称 | 数量* | |
|---|---|---|---|---|
| 货号* | 形态* | 批号* | |
|---|---|---|---|
| 货号* | 形态* | 批号* | |
|---|---|---|---|
| 货号* | 批号* | |
|---|---|---|
| 货号* | 规格* | 批号* |
|---|---|---|
| Buffer 货号* | Buffer 规格* | Buffer 批号* |
|---|---|---|
| 货号* | 批号* | |
|---|---|---|