FGF-HE010-100μg / 询价
FGF-HE010-500μg / 询价
FGF-HE010-500μgx2 / 询价
|
表达区间及表达系统(Source)
|
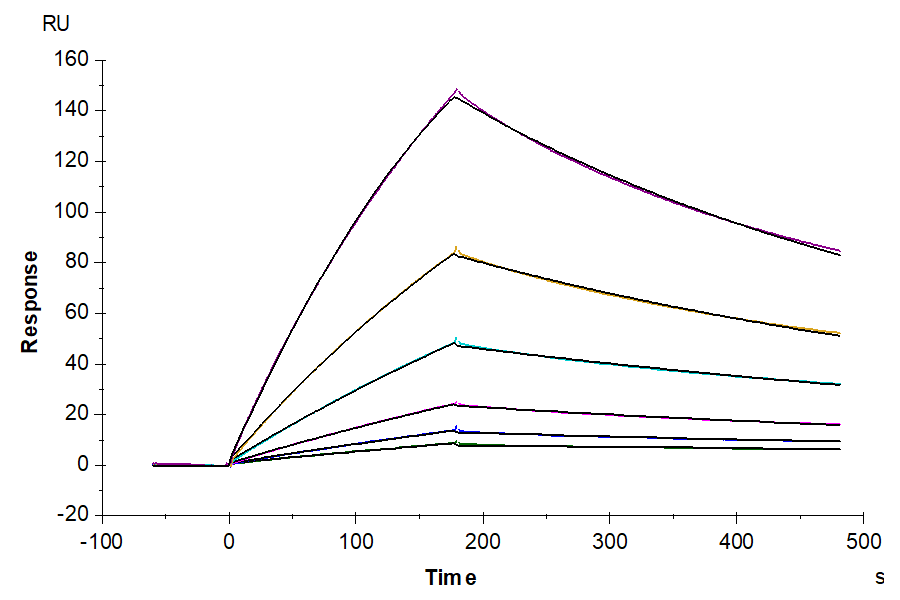
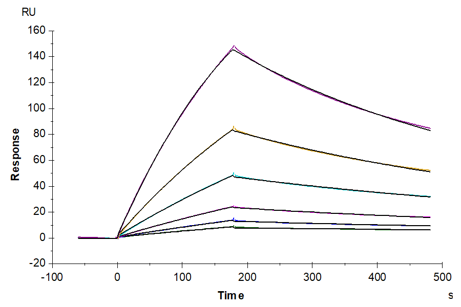
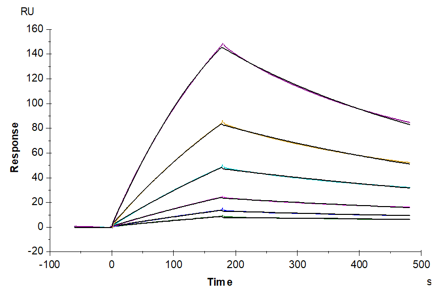
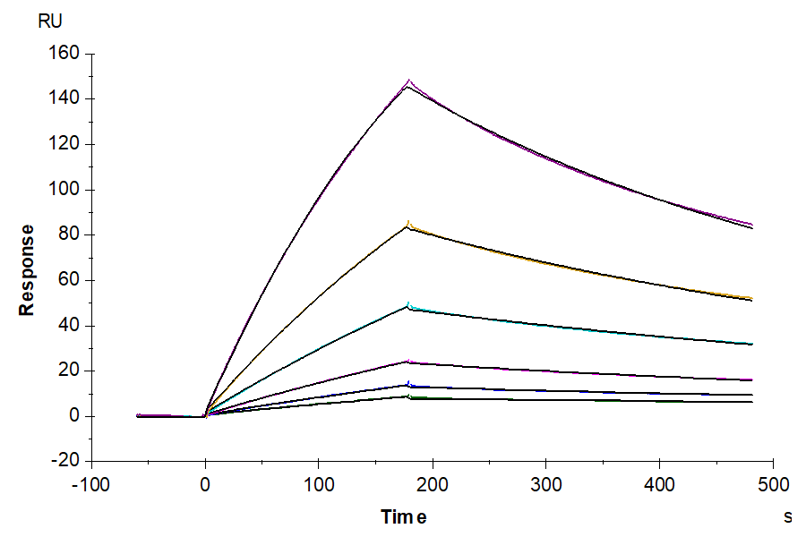
Recombinant Human FGF10 Protein is expressed from E.coli without tag.It contains Gln38-Ser208 [Accession | O15520]. |
|
分子量大小(Molecular Weight)
|
The protein has a predicted MW of 19.3 kDa. The protein migrates to 25 kDa based on Bis-Tris PAGE result. |
|
纯度(Purity)
|
> 90% as determined by Bis-Tris PAGE |
|
内毒素(Endotoxin)
|
Less than 0.1 EU per μg by the LAL method. |
|
制剂(Formulation)
|
Lyophilized from 0.22μm filtered solution in 20mM Tris, 150mM NaCl (pH 8.0). Normally 8% trehalose is added as protectant before lyophilization. |
|
重构方法(Reconstitution)
|
Dissolve the lyophilized protein in distilled water. Please refer to the Certificate of Analysis for detailed instructions. |
|
存储(Storage)
|
-20 to -80°C for 12 months as supplied from date of receipt. |
Recombinant Human FGF10 Protein is expressed from E.coli without tag.It contains Gln38-Ser208 [Accession | O15520].
The protein has a predicted MW of 19.3 kDa. The protein migrates to 25 kDa based on Bis-Tris PAGE result.
> 90% as determined by Bis-Tris PAGE
Less than 0.1 EU per μg by the LAL method.
Lyophilized from 0.22μm filtered solution in 20mM Tris, 150mM NaCl (pH 8.0). Normally 8% trehalose is added as protectant before lyophilization.
Dissolve the lyophilized protein in distilled water. Please refer to the Certificate of Analysis for detailed instructions.
-20 to -80°C for 12 months as supplied from date of receipt.
-80°C for 3 months after reconstitution.
Recommend to aliquot the protein into smaller quantities for optimal storage. Please minimize freeze-thaw cycles.
Fibroblast growth factor 10 (FGF10) regulates multiple stages of structural lung morphogenesis, cellular differentiation, and the response to injury. As a driver of lung airway branching morphogenesis, FGF10 signaling defects during development lead to neonatal lung disease. Lung diseases impact patients across the lifespan, from infants in the first minutes of life through the aged population. Congenital abnormalities of lung structure can cause lung disease at birth or make adults more susceptible to chronic disease.
FGF-10; KGF2
(1) Prince LS. FGF10 and Human Lung Disease Across the Life Spectrum. Front Genet. 2018 Oct 31;9:517. doi: 10.3389/fgene.2018.00517. PMID: 30429870; PMCID: PMC6220039.
FGF-HE010-100μg / 询价
FGF-HE010-500μg / 询价
FGF-HE010-500μgx2 / 询价
| 货号* | 规格* | 名称 | 数量* | |
|---|---|---|---|---|
| 货号* | 形态* | 批号* | |
|---|---|---|---|
| 货号* | 形态* | 批号* | |
|---|---|---|---|
| 货号* | 批号* | |
|---|---|---|
| 货号* | 规格* | 批号* |
|---|---|---|
| Buffer 货号* | Buffer 规格* | Buffer 批号* |
|---|---|---|
| 货号* | 批号* | |
|---|---|---|