FRN-MM401B | 价格

FRN-MM401B-100μg / 询价

FRN-MM401B-500μg / 询价

FRN-MM401B-500μgx2 / 询价

Biotinylated Mouse FcRn Protein

产品信息(Product Info)
表达区间及表达系统(Source)

Recombinant Biotinylated Mouse FcRn Protein is expressed from HEK293 His tag and Avi tag at the C-Terminus.
It contains Ser22-Ser297 (FCGRT) and Ile21-Met119 (B2M) [Accession | P01887&Q61559].

分子量大小(Molecular Weight)

The protein has a predicted MW of 47.1 kDa. Due to glycosylation, the protein migrates to 50-70 kDa based on Bis-Tris PAGE result.

纯度(Purity)

> 95% as determined by Bis-Tris PAGE
> 95% as determined by HPLC

内毒素(Endotoxin)

Less than 1 EU per μg by the LAL method.

制剂(Formulation)

Lyophilized from 0.22 μm filtered solution in PBS (pH 7.4). Normally 8% trehalose is added as protectant before lyophilization.

重构方法(Reconstitution)

Dissolve the lyophilized protein in distilled water. Please refer to the Certificate of Analysis for detailed instructions.

存储(Storage)

-20 to -80°C for 12 months as supplied from date of receipt.
-80°C for 3 months after reconstitution.
Recommend to aliquot the protein into smaller quantities for optimal storage. Please minimize freeze-thaw cycles.

产品数据(Assay Data)
Bis-Tris PAGE
Biotinylated Mouse FcRn on Bis-Tris PAGE under reduced condition. The purity is greater than 95%.
SEC-HPLC
The purity of Biotinylated Mouse FcRn is greater than 95% as determined by SEC-HPLC.
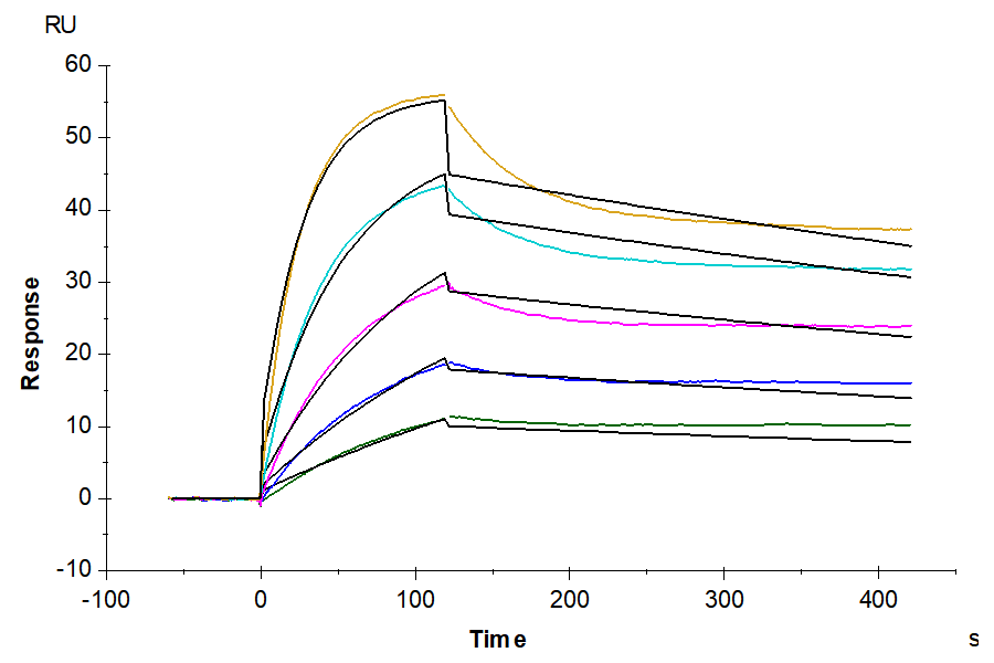
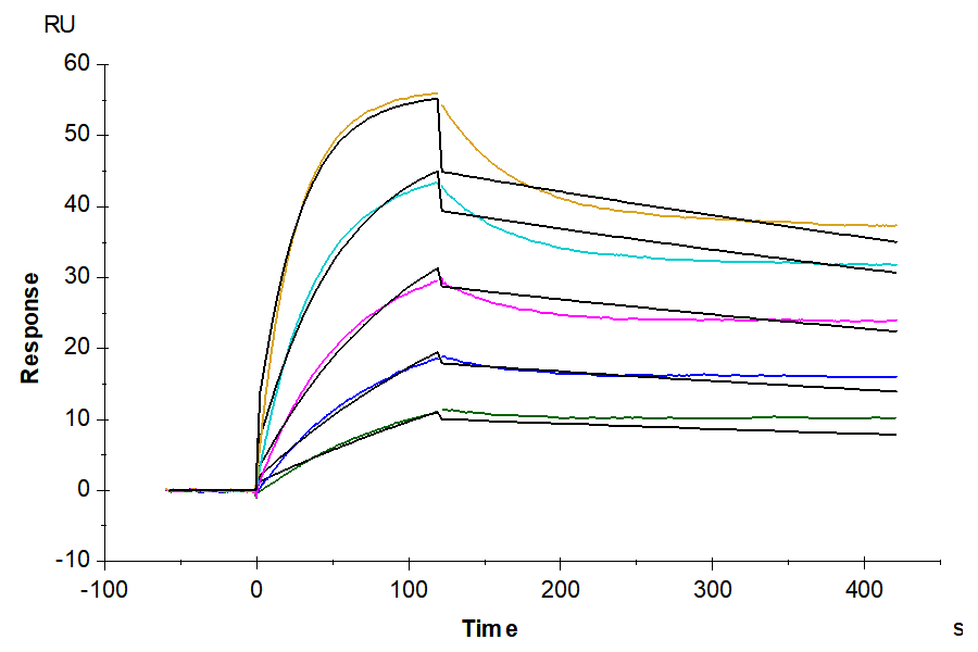
SPR Data
Biotinylated Mouse FcRn, His Tag captured on CM5 Chip via anti-his antibody can bind Trastuzumab with an affinity constant of 1.22 nM as determined in SPR assay (Biacore T200). (QC Test)
BLI Data
Loaded Biotinylated Mouse FcRn, His-Avi Tag on Anti-His-Biosensor can bind Trastuzumab with an affinity constant of 27.5 nM as determined in BLI assay (Gator® Prime).
背景(Background)

The neonatal Fc receptor (FCRN) is an approximately 45 kDa transmembrane glycoprotein with structural homology to MHC class I proteins. It is widely expressed in endothelial and epithelial cells and plays an important role in IgG homeostasis and antigen presentation by dendritic cells.FCGRT & B2M heterodimer protein (FcRn complex) consist of two subunits: p51, and p14 , and forms an MHC class I-like heterodimer.

分子别名(Synonyms)

FcRn alpha chain; FCGRT; FCRN; FCGRT&B2M

文献(References)

(1)Kiessling P , Lledo-Garcia R , Watanabe S , et al. The FcRn inhibitor rozanolixizumab reduces human serum IgG concentration: A randomized phase 1 study[J]. Science translational medicine, 2017, 9(414):eaan1208.

Note: HPLC results always come from liquid protein, due to absorption peak interference of trehalose in lyophilized powder.