GPR-HM45PB | 价格

GPR-HM45PB-100μg / 询价

GPR-HM45PB-100μgx5 / 询价

GPR-HM45PB-100μgx10 / 询价

Biotinylated Human GPRC5D Nanodisc

产品信息(Product Info)
表达区间及表达系统(Source)

Recombinant Biotinylated Human GPRC5D Nanodisc is expressed from HEK293 with His tag and Avi tag at the C-terminus.
It contains Met1-Val345 [Accession | Q9NZD1-1].

分子量大小(Molecular Weight)

The protein has a predicted MW of 42.10 kDa.

内毒素(Endotoxin)

Less than 1 EU per μg by the LAL method.

制剂(Formulation)

Supplied as 0.22 μm filtered solution in PBS (pH 7.4). Notice: Not recommended for flow cytometry in mammalian cells.

存储(Storage)

Valid for 6 months from date of receipt when stored at -80°C.
Recommend to aliquot the protein into smaller quantities for optimal storage. Please minimize freeze-thaw cycles.

产品数据(Assay Data)
ELISA Data
Immobilized Biotinylated Human GPRC5D Nanodisc, His Tag at 5μg/ml (100μl/well) on the streptavidin precoated plate (5μg/ml). Dose response curve for Anti-GPRC5D Antibody, hFc Tag with the EC50 of 6.3ng/ml determined by ELISA (QC Test).
ELISA Data
Immobilized Human CD3E&CD3D, His Tag at 2μg/ml (100μl/well) on the plate, add serial dilutions of Anti-Human CD3×GPRC5D Bispecific Antibody, hFc Tag and then add Biotinylated Human GPRC5D Nanodisc, His Tag at 5μg/ml. Detection was performed using HRP-conjugated streptavidin with the EC50 of 0.28μg/ml determined by ELISA.
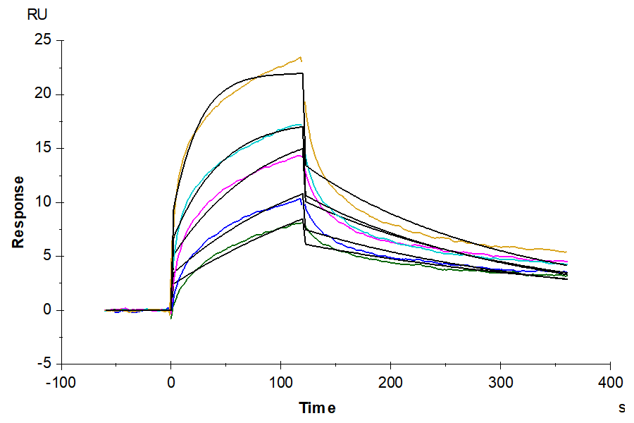
SPR Data
Biotinylated Human GPRC5D Nanodisc, His Tag captured on CM5 Chip via Streptavidin can bind Anti-GPRC5D Antibody with an affinity constant of 6.30 nM as determined in SPR assay (Biacore T200).
BLI Data
Loaded Biotinylated Human GPRC5D Nanodisc, His Tag on SA-Biosensor, can bind Anti-GPRC5D Antibody with an affinity constant of 1.16 nM as determined in BLI assay (Gator Prime).
背景(Background)

G protein–coupled receptor, family C, group 5, member D (GPRC5D) is an orphan receptor that is primarily expressed in plasma cells and hard keratinized tissues, with low expression in normal human tissues. GPRC5D expression is enriched in malignant plasma cells and is associated with markers of high-risk myeloma.

分子别名(Synonyms)

GPRC5D; MGC129713; MGC129714; orphan G-protein coupled receptor

文献(References)

Chari A, Minnema MC, Berdeja JG, Oriol A, van de Donk NWCJ, Rodríguez-Otero P, Askari E, Mateos MV, Costa LJ, Caers J, Verona R, Girgis S, Yang S, Goldsmith RB, Yao X, Pillarisetti K, Hilder BW, Russell J, Goldberg JD, Krishnan A. Talquetamab, a T-Cell-Redirecting GPRC5D Bispecific Antibody for Multiple Myeloma. N Engl J Med. 2022 Dec 15;387(24):2232-2244. doi: 10.1056/NEJMoa2204591. Epub 2022 Dec 10. PMID: 36507686.