IL1-HE018 | 价格

IL1-HE018-100μg / 询价

IL1-HE018-500μg / 询价

IL1-HE018-500μgx2 / 询价

Human IL-18 Protein

产品信息(Product Info)
表达区间及表达系统(Source)

Recombinant Human IL-18 Protein is expressed from E.coli without tag.
It contains Tyr37-Asp193 [Accession | Q14116-1].

分子量大小(Molecular Weight)

The protein has a predicted MW of 18.2 kDa same as Bis-Tris PAGE result.

纯度(Purity)

> 95% as determined by Bis-Tris PAGE
> 95% as determined by HPLC

内毒素(Endotoxin)

Less than 0.1 EU per μg by the LAL method.

制剂(Formulation)

Lyophilized from 0.22μm filtered solution in 20mM PB, 250mM NaCl, 50mM L-arginine (pH 7.4). Normally 8% trehalose is added as protectant before lyophilization.

重构方法(Reconstitution)

Dissolve the lyophilized protein in distilled water. Please refer to the Certificate of Analysis for detailed instructions.

存储(Storage)

-20 to -80°C for 12 months as supplied from date of receipt.
-80°C for 3 months after reconstitution.
Recommend to aliquot the protein into smaller quantities for optimal storage. Please minimize freeze-thaw cycles.

产品数据(Assay Data)
Bis-Tris PAGE
Human IL-18 on Bis-Tris PAGE under reduced condition. The purity is greater than 95%.
SEC-HPLC
The purity of Human IL-18 is greater than 95% as determined by SEC-HPLC.
Cell Based Assay
Measured by its ability to induce Interferon gamma secretion by human natural killer lymphoma NK-92 cells. The ED50 for this effect is 1-10 ng/mL (QC Test).
ELISA Data
Immobilized Human IL-18 at 5μg/ml (100μl/Well) on the plate. Dose response curve for Human IL-18BP, hFc Tag (Cat. IL8-HM2BP) with the EC50 of 62.0ng/ml determined by ELISA (QC Test).
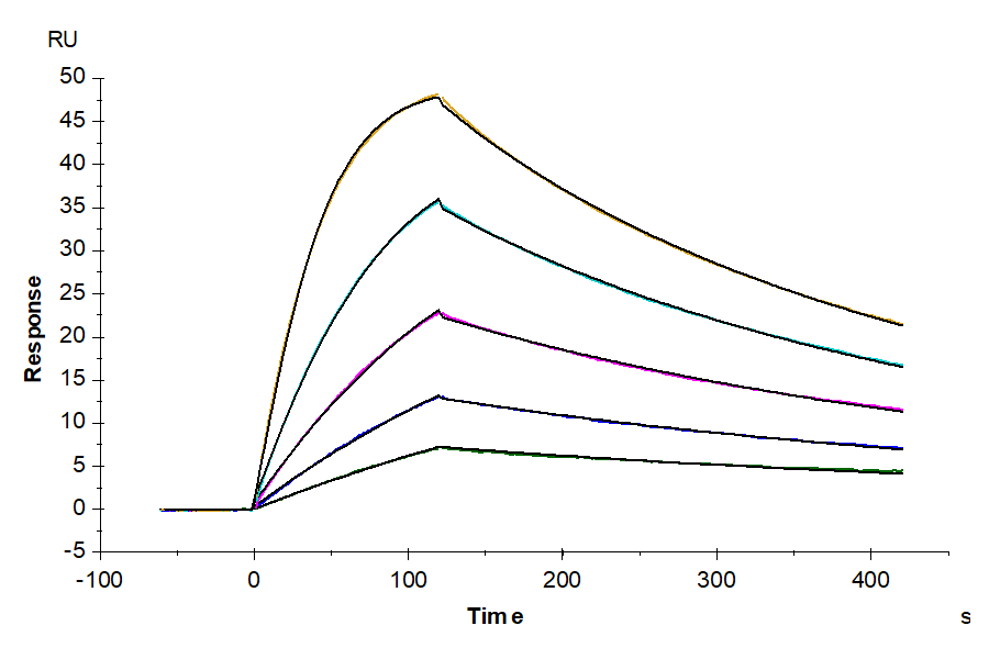
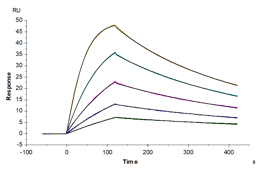
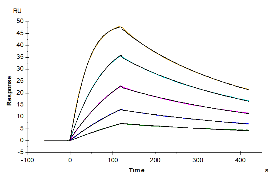
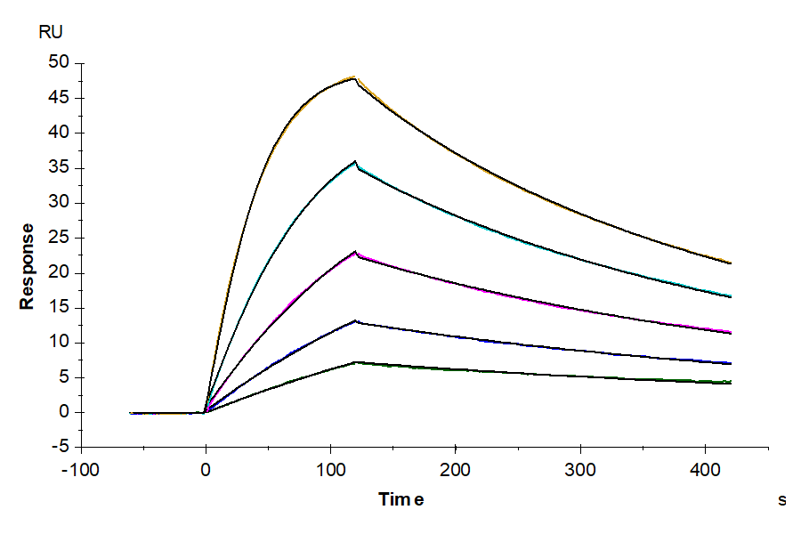
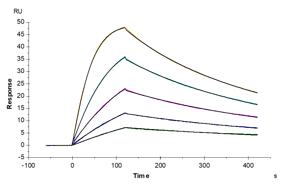
SPR Data
Human IL-18 R1, His Tag (Cat. IL8-HM4R1) captured on CM5 Chip via anti-his antibody can bind Human IL-18, No Tag with an affinity constant of 2.38 nM as determined in SPR assay (Biacore T200).
BLI Data
Loaded Human IL-18BP, His Tag (Cat. IL8-HM1BP) on Anti-His-Biosensor can bind Human IL-18, No Tag with an affinity constant of 1.80 nM as determined in BLI assay (Gator® Prime).
背景(Background)

Interleukin (IL)-18 was originally discovered as a factor that enhanced IFN-γ production from anti-CD3-stimulated Th1 cells, especially in the presence of IL-12. Upon stimulation with Ag plus IL-12, naïve T cells develop into IL-18 receptor (IL-18R) expressing Th1 cells, which increase IFN-γ production in response to IL-18 stimulation.

分子别名(Synonyms)

IL-18; IL18; IGIF; IL-1F4; IL-1 gamma; IL1F4; IL-1g; Interleukin 1; IL-1γ; IL-1 γ

文献(References)

(1)Yamada T, Aoyama-Ishikawa M, Yamashita H, Fujiwara M, Usami M, Ueda T, Terashima M, Kohama K, Nakao A, Kotani J. IL-18 production and IL18 promoter polymorphisms correlate with mortality in ICU patients. In Vivo. 2014 May-Jun;28(3):391-6. PMID: 24815843.

Note: HPLC results always come from liquid protein, due to absorption peak interference of trehalose in lyophilized powder.