IL5-HE015 | 价格

IL5-HE015-100μg / 询价

IL5-HE015-500μg / 询价

IL5-HE015-500μgx2 / 询价

Human IL-15 Protein

产品信息(Product Info)
表达区间及表达系统(Source)

Recombinant Human IL-15 Protein is expressed from E.coli without tag.
It contains Asn49-Ser162 [Accession | P40933-1].

分子量大小(Molecular Weight)

The protein has a predicted MW of 12.8 kDa same as Bis-Tris PAGE result.

纯度(Purity)

> 95% as determined by Bis-Tris PAGE
> 95% as determined by HPLC

内毒素(Endotoxin)

Less than 0.05 EU per μg by the LAL method.

制剂(Formulation)

Lyophilized from 0.22 μm filtered solution in 20 mM Tris, 150 mM NACI (pH 7.5). Normally 8% mannitol is added as protectant before lyophilization.

重构方法(Reconstitution)

Dissolve the lyophilized protein in distilled water. Please refer to the Certificate of Analysis for detailed instructions.

存储(Storage)

-20 to -80°C for 12 months as supplied from date of receipt.
-80°C for 3 months after reconstitution.
Recommend to aliquot the protein into smaller quantities for optimal storage. Please minimize freeze-thaw cycles.

产品数据(Assay Data)
Bis-Tris PAGE

Human IL-15 on Bis-Tris PAGE under reduced condition. The purity is greater than 95%.

SEC-HPLC

The purity of Human IL-15 is greater than 95% as determined by SEC-HPLC.

Cell Based Assay

Measured in a cell proliferation assay using CTLL-2 cells. The ED50 for this effect is 0.1 - 0.3 ng/mL. The specific activity of recombinant human IL-15 is > 1 × 10^7 units/mg, which is calibrated against the human IL-15 reference standard (NIBSC code: 95/554) (QC Test).

ELISA Data

Immobilized Human IL-15, No Tag at 2 μg/ml (100 μl/Well) on the plate. Dose response curve for Human IL-15RA, His Tag with the EC50 of 15.4 ng/ml determined by ELISA.

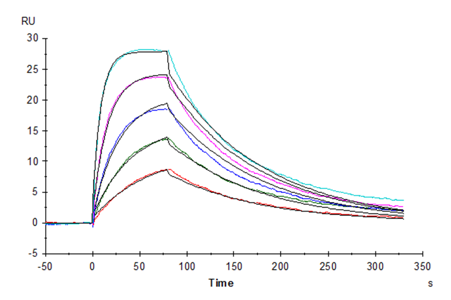
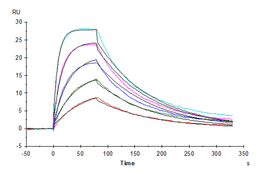
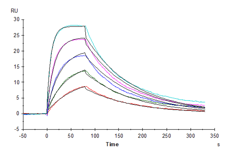
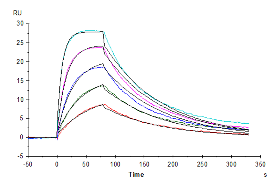
SPR Data

Human IL-2 R beta, His Tag captured on CM5 Chip via Anti-His Antibody can bind Human IL-15, No Tag with an affinity constant of 5.9 nM as determined in SPR assay (Biacore T200).

背景(Background)

Interleukin 15 (IL-15) is a widely expressed 14 kDa cytokine that is structurally and functionally related to IL-2 and plays an important role in many immunological diseases. IL-15 is a cytokine that stimulates the proliferation of T-lymphocytes. Stimulation by IL15 requires interaction of IL15 with components of the IL2 receptor, including IL2RB and probably IL2RG but not IL2RA.

分子别名(Synonyms)

L15; IL-15; IL-15MGC9721; Interleukin-15

文献(References)

(1) Rautela J , Huntington N D. IL-15 signaling in NK cell cancer immunotherapy [J]. Current Opinion in Immunology, 2017, 44:1-6.

Note: HPLC results always come from liquid protein, due to absorption peak interference of trehalose in lyophilized powder.