IL7-HE001 | 价格

IL7-HE001-100μg / 询价

IL7-HE001-500μg / 询价

IL7-HE001-500μgx2 / 询价

Human IL-7 Protein

产品信息(Product Info)
表达区间及表达系统(Source)

Recombinant Human IL-7 Protein is expressed from E.coli without tag.
It contains Asp26-His177 [Accession | P13232].

分子量大小(Molecular Weight)

The protein has a predicted MW of 17.5 kDa same as Bis-Tris PAGE result.

纯度(Purity)

> 95% as determined by Bis-Tris PAGE
> 95% as determined by HPLC

内毒素(Endotoxin)

Less than 0.01 EU per μg by the LAL method.

制剂(Formulation)

Lyophilized from 0.22 μm filtered solution in PBS (pH 8.0). Normally 8% trehalose is added as protectant before lyophilization.

重构方法(Reconstitution)

Dissolve the lyophilized protein in distilled water. Please refer to the Certificate of Analysis for detailed instructions.

存储(Storage)

-20 to -80°C for 12 months as supplied from date of receipt.
-80°C for 3 months after reconstitution.
Recommend to aliquot the protein into smaller quantities for optimal storage. Please minimize freeze-thaw cycles.

产品数据(Assay Data)
Bis-Tris PAGE
Human IL-7 on Bis-Tris PAGE under reduced condition. The purity is greater than 95%.
SEC-HPLC
The purity of Human IL-7 is greater than 95% as determined by SEC-HPLC.
Cell Based Assay
Measured in a cell proliferation assay using PHA-activated human peripheral blood lymphocytes (PBL). The ED50 for this effect is 0.100-1 ng/mL. (QC Test)
ELISA Data
Immobilized Human IL-7 at 2μg/ml (100μl/Well) on the plate. Dose response curve for Human IL-7R alpha, hFc Tag with the EC50 of 16.2ng/ml determined by ELISA (QC tested).
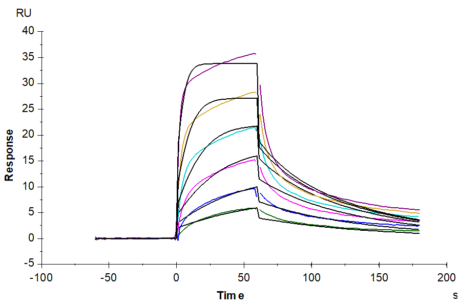
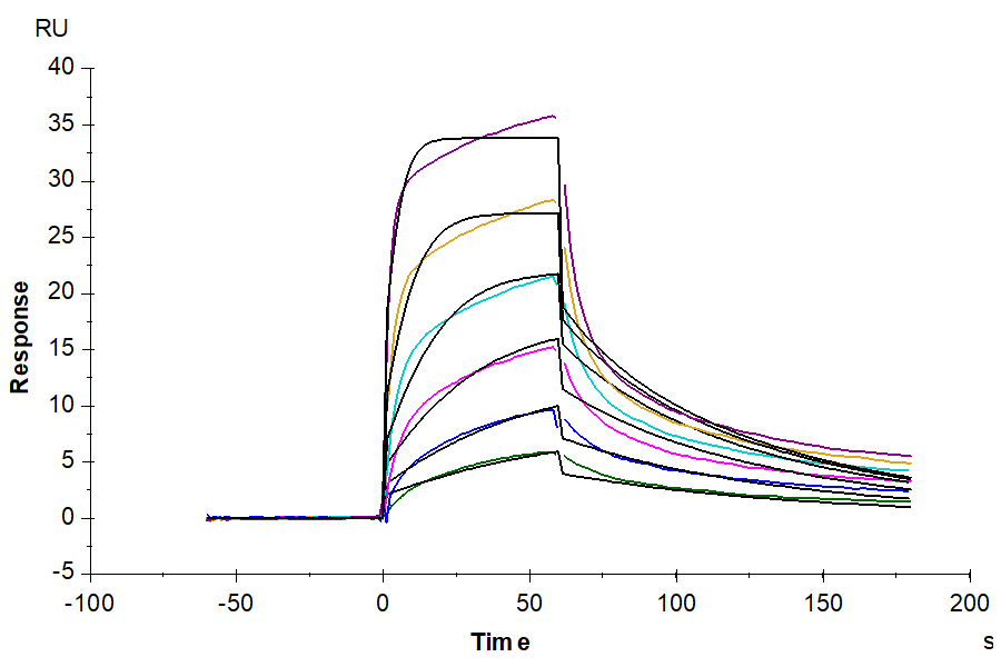
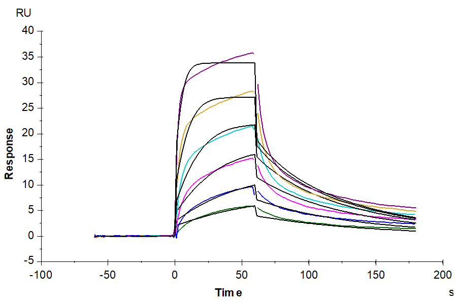
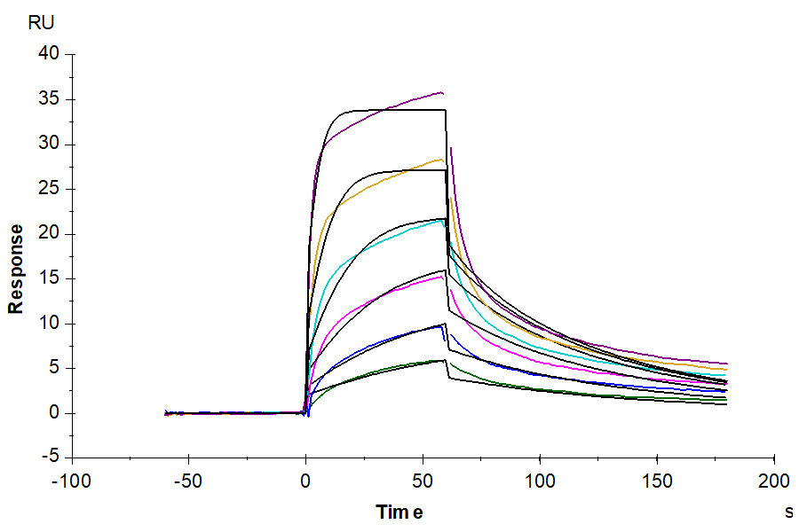
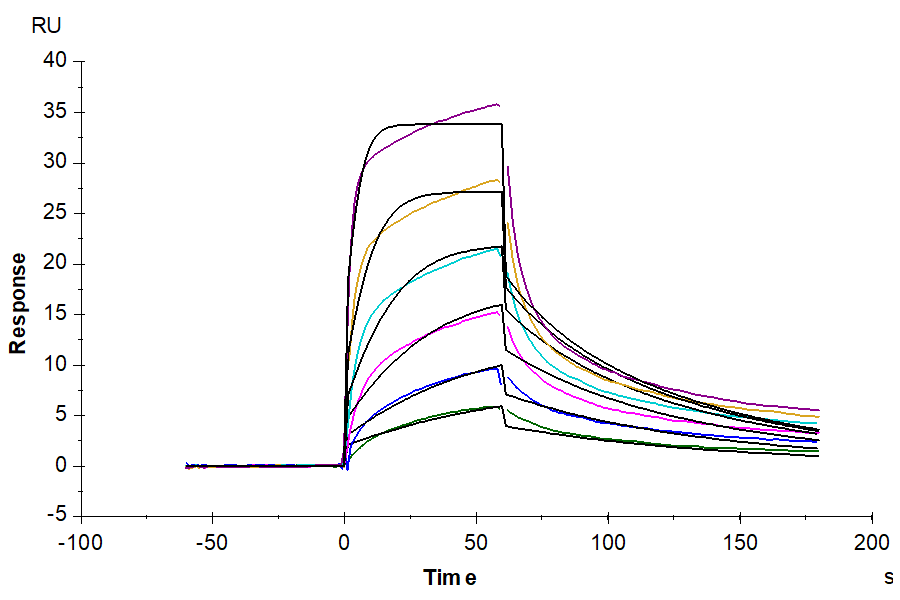
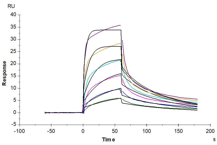
SPR Data
Human IL-7R alpha, His Tag captured on CM5 Chip via Anti-His Antibody can bind Human IL-7, No Tag with an affinity constant of 35.38 nM as determined in SPR assay (Biacore S200).
背景(Background)

Interleukin-7 (IL7) plays a nonredundant role in T cell survival and homeostasis, which is illustrated in the severe T cell lymphopenia of IL7-deficient mice, or demonstrated in animals or humans that lack expression of either the IL7Rα or γ c chain, the two subunits that constitute the functional IL7 receptor.

分子别名(Synonyms)

IL7; Interleukin-7; IL-7; Lymphopoietin-1; PBGF

文献(References)

(1)Park JH, Waickman AT, Reynolds J, Castro M, Molina-París C. IL7 receptor signaling in T cells: A mathematical modeling perspective. Wiley Interdiscip Rev Syst Biol Med. 2019;11(5):e1447. doi:10.1002/wsbm.1447

Note: HPLC results always come from liquid protein, due to absorption peak interference of trehalose in lyophilized powder.