MR2-HM10XN-100μg / 询价
MR2-HM10XN-100μgx5 / 询价
MR2-HM10XN-100μgx10 / 询价
|
表达区间及表达系统(Source)
|
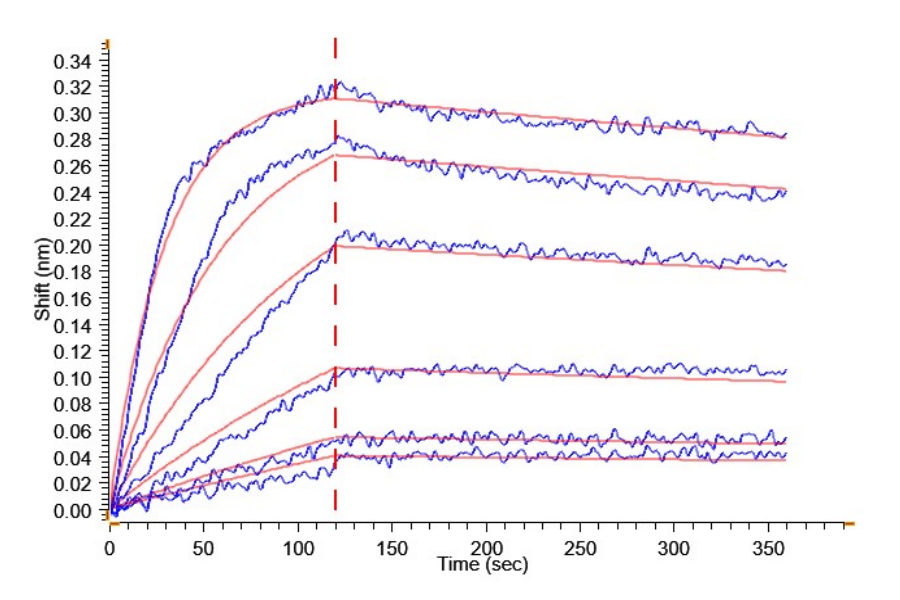
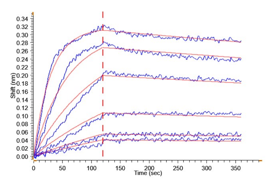
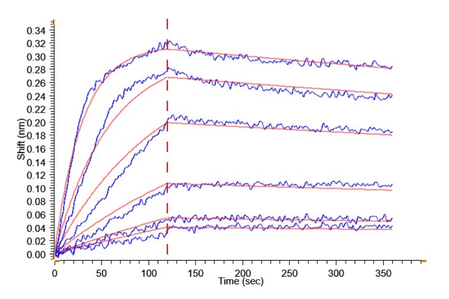
Recombinant Biotinylated Human MRGPRX2 Nanodisc is expressed from HEK293 with His tag at the C-terminus.It contains Met1-Val330 [Accession | Q96LB1]. |
|
分子量大小(Molecular Weight)
|
The protein has a predicted MW of 50.1 kDa. |
|
内毒素(Endotoxin)
|
Less than 1 EU per μg by the LAL method. |
|
制剂(Formulation)
|
Supplied as 0.22 μm filtered solution in PBS, 200mM L-arginine (pH 7.4). Notice: Not recommended for flow cytometry in mammalian cells. |
|
存储(Storage)
|
Valid for 6 months from date of receipt when stored at -80°C. |
|
阴性对照
(Recommended Negative Control)
|
CON-HM1NB |
Recombinant Biotinylated Human MRGPRX2 Nanodisc is expressed from HEK293 with His tag at the C-terminus.It contains Met1-Val330 [Accession | Q96LB1].
The protein has a predicted MW of 50.1 kDa.
Less than 1 EU per μg by the LAL method.
Supplied as 0.22 μm filtered solution in PBS, 200mM L-arginine (pH 7.4). Notice: Not recommended for flow cytometry in mammalian cells.
Valid for 6 months from date of receipt when stored at -80°C.
Recommend to aliquot the protein into smaller quantities for optimal storage. Please minimize freeze-thaw cycles.
As receptor for multiple drugs, MRGPRX2 is crucial to drug-induced hypersensitivity. However, not only drugs, but also endogenous mediators like neuropeptides and host defense peptides activate MRGPRX2, suggesting its broad impact in cutaneous pathophysiology.
MRGX2
Wang Z, Babina M. MRGPRX2 signals its importance in cutaneous mast cell biology: Does MRGPRX2 connect mast cells and atopic dermatitis? Exp Dermatol. 2020 Nov;29(11):1104-1111. doi: 10.1111/exd.14182. Epub 2020 Sep 17. PMID: 32866307.
MR2-HM10XN-100μg / 询价
MR2-HM10XN-100μgx5 / 询价
MR2-HM10XN-100μgx10 / 询价
| 货号* | 规格* | 名称 | 数量* | |
|---|---|---|---|---|
| 货号* | 形态* | 批号* | |
|---|---|---|---|
| 货号* | 形态* | 批号* | |
|---|---|---|---|
| 货号* | 批号* | |
|---|---|---|
| 货号* | 规格* | 批号* |
|---|---|---|
| Buffer 货号* | Buffer 规格* | Buffer 批号* |
|---|---|---|
| 货号* | 批号* | |
|---|---|---|