RS1-HM101 | 价格

RS1-HM101-100μg / 询价

RS1-HM101-500μg / 询价

RS1-HM101-500μgx2 / 询价

Human R spondin 1/RSPO1 Protein

产品信息(Product Info)
表达区间及表达系统(Source)

Recombinant Human R spondin 1/RSPO1 Protein is expressed from CHO with His tag at the C-Terminus.
It contains Arg31-Ala263 [Accession | Q2MKA7].

分子量大小(Molecular Weight)

The protein has a predicted MW of 27.3 kDa. Due to glycosylation, the protein migrates to 38-42 kDa based on Bis-Tris PAGE result.

纯度(Purity)

> 95% as determined by Bis-Tris PAGE

内毒素(Endotoxin)

Less than 0.05 EU per μg by the LAL method.

制剂(Formulation)

Lyophilized from 0.22μm filtered solution in PBS (pH 7.4). Normally 8% trehalose is added as protectant before lyophilization.

重构方法(Reconstitution)

Dissolve the lyophilized protein in distilled water. Please refer to the Certificate of Analysis for detailed instructions.

存储(Storage)

-20 to -80°C for 12 months as supplied from date of receipt.
-80°C for 3 months after reconstitution.
Recommend to aliquot the protein into smaller quantities for optimal storage. Please minimize freeze-thaw cycles.

产品数据(Assay Data)
Bis-Tris PAGE

Human R spondin 1 on Bis-Tris PAGE under reduced condition. The purity is greater than 95%.

Cell Based Assay

Measured by its ability to induce Topflash reporter activity in HEK293T human embryonic kidney cells. The ED50 for this effect is 1.0 - 10.0 ng/mL in the presence of 5 ng/mL recombinant Human Wnt Surrogate-Fc Fusion (WNT-HM23A) (QC Test).

ELISA Data

Immobilized Human R spondin 1, His Tag at 0.5μg/ml (100μl/well) on the plate. Dose response curve for Anti-R spondin 1 Antibody, hFc Tag with the EC50 of 2.9ng/ml determined by ELISA (QC Test).

 

Immobilized Human R spondin 1, His Tag at 5μg/ml (100μl/well) on the plate. Dose response curve for Human RNF34, hFc Tag with the EC50 of 0.4μg/ml determined by ELISA.

 

Immobilized Human LRP-6, mFc Tag at 5μg/ml (100μl/well) on the plate. Dose response curve for Human R spondin 1, His Tag with the EC50 of 4.4μg/ml determined by ELISA.

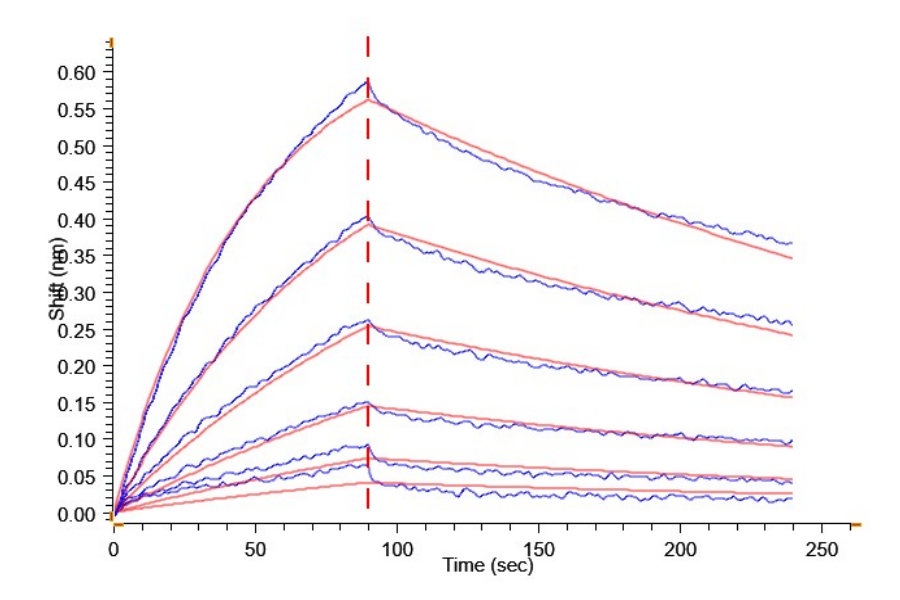
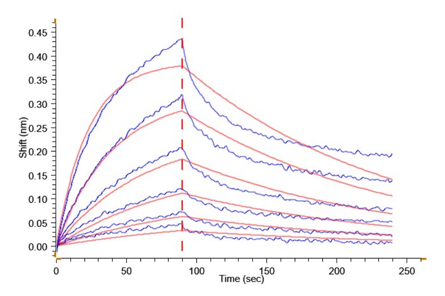
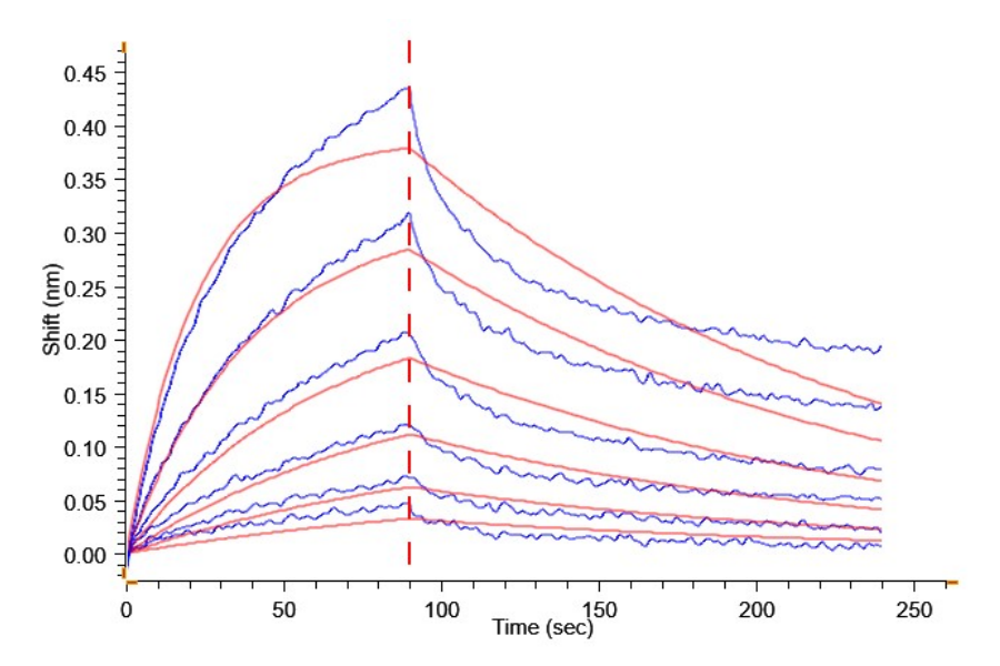
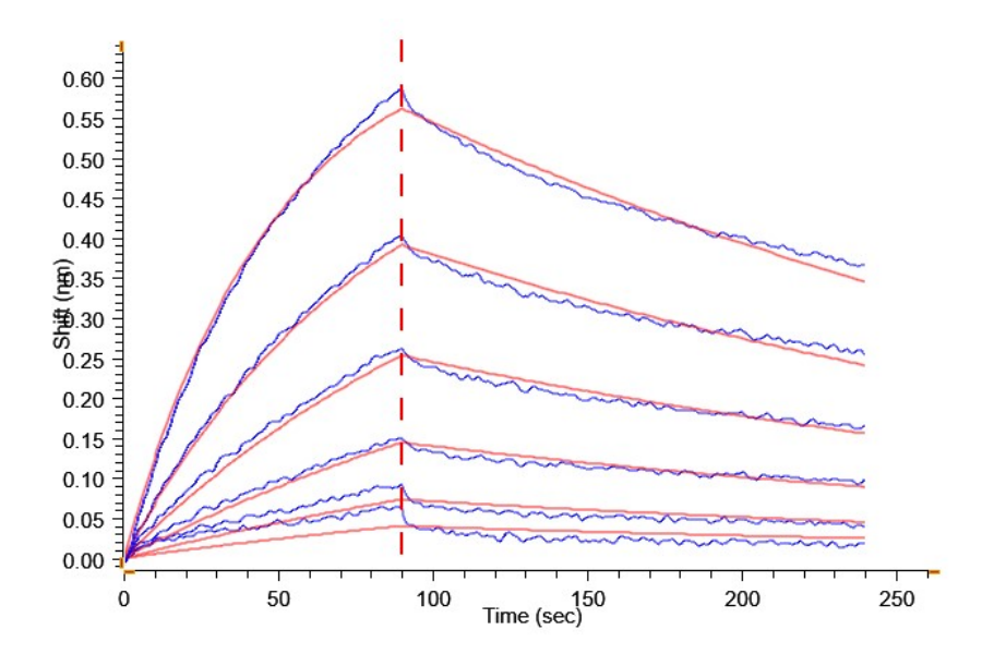
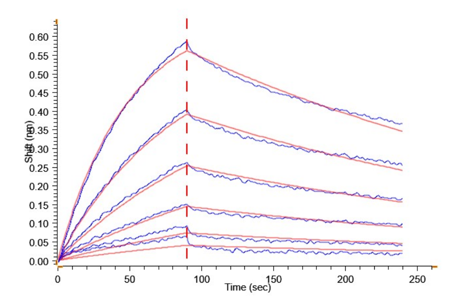
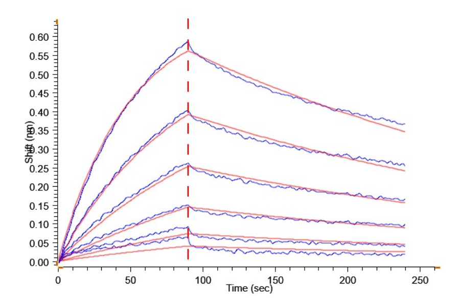
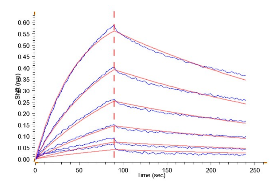
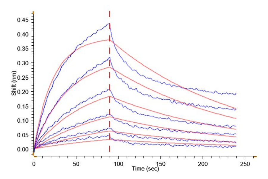
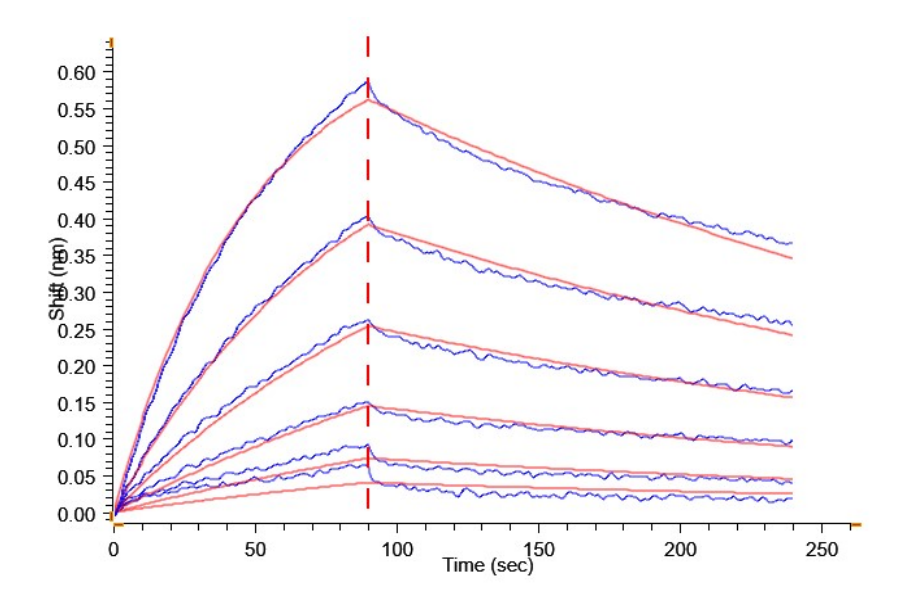
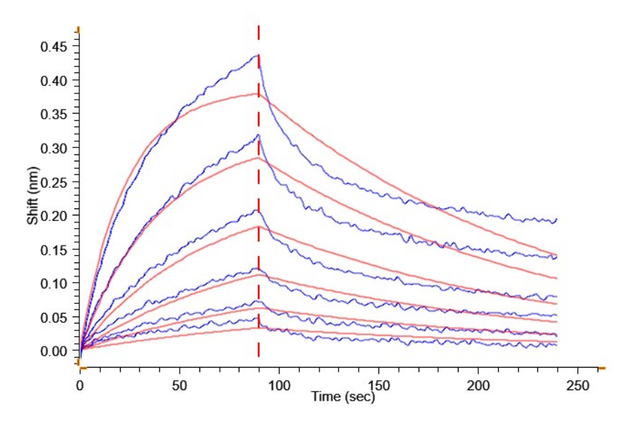
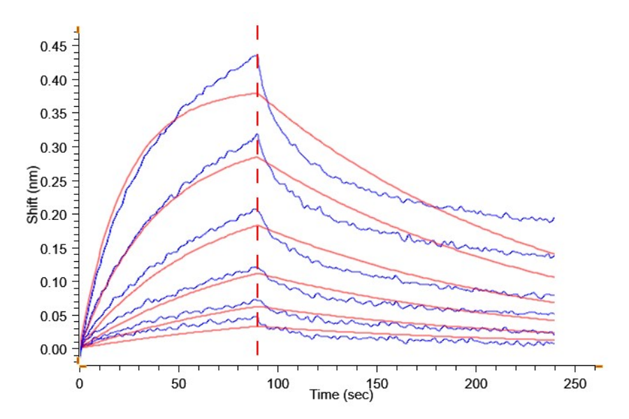
BLI Data

Loaded Human R spondin 1, His Tag on Anti-His-Biosensor can bind Human RNF43, hFc Tag with an affinity constant of 18.50 nM as determined in BLI assay (Gator® Prime).

 

Loaded Human R spondin 1, His Tag on Anti-His-Biosensor can bind Human LRP-6, mFc Tag with an affinity constant of 8.97 nM as determined in BLI assay (Gator® Prime).

背景(Background)

The R-spondins are members of a superfamily of thrombospondin type 1 repeat (TSR-1)-containing proteins. The prototype member (discovered in 1971) was isolated from platelets that had been stimulated with thrombin, and was therefore designated 'thrombin-sensitive protein.

分子别名(Synonyms)

R-spondin-1; RSPO1; CRISTIN3; FLJ40906; RP11-566C13.1; RSPO; R-Spondin1

文献(References)

(1)Kamata T, Katsube K, Michikawa M, Yamada M, Takada S, Mizusawa H: R-spondin, a novel gene with thrombospondin type 1 domain, was expressed in the dorsal neural tube and affected in Wnts mutants. Biochim Biophys Acta. 2004, 1676: 51-62.